山河铭记,歌声为证!这些歌曲仍激昂
发布时间:Sep 4, 2025 | 作者:浠水县文化馆
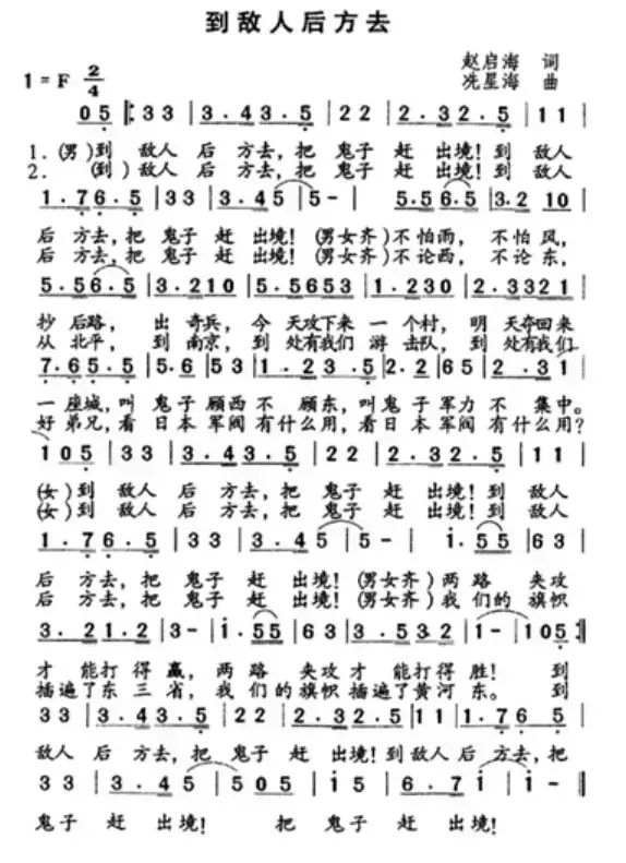
🇨🇳 当历史的钟声再次敲响 9月3日 这个铭刻着中华民族 用血肉铸就胜利的日子 正以滚烫的热血温度 唤醒荆楚大地的记忆 回望烽火岁月 这片土地上 诞生了无数抗日歌曲 这些从血泊中生长出的音符 是中华儿女用生命谱写的战歌 是中华民族在绝境中迸发的呐喊 今天,就让我们用这歌声 向所有为中华民族解放事业献身的英魂 致以最崇高的敬礼! 《保卫大武汉》的曲作者是来自朝鲜半岛的革命青年郑律成。其词作者为沙旅、尔东。1938年的武汉是全国抗战文化中心,一时间,阳翰笙、胡愈之、田汉、冼星海等文化艺术界的名流云集江城,致力开展抗日救亡宣传活动。 👆点击图片查看大图👆 1938年4月9日是“武汉各界第二期抗战扩大宣传周”的“歌咏日”,江汉关的万人大合唱上,演唱了武汉人耳熟能详的《保卫大武汉》,冼星海做指挥,歌声口号声回荡在空中,汇合成一个巨大的吼声,“我们要保卫大武汉!” 《在太行山上》由桂涛声作词,冼星海作曲。“七七事变”爆发后,桂涛声随游击队转战陵川的过程中,目睹了太行王莽岭的“千山万壑”后,又亲身感受到了抗日军民才是真正的“铜壁铁墙”,触景生情,酝酿半年的诗篇《在太行山上》从心底迸发了出来,他随手写在香烟包装纸上。 👆点击图片查看大图👆 1938 年6 月桂涛声返回武汉,即带着歌词去见冼星海,桂声涛找到冼星海,请他为太行山区的战友们谱一只队歌。坐在钢琴前,冼星海反复琢磨、构思,连夜将歌词《在太行山上》谱写成一首兼有抒情性和进行曲风格的二部合唱曲。 1937年,湖北武汉街头,一位身穿中式旗袍的女学生,站在抗日募捐的简易舞台上,悲愤激昂地演唱着刚刚问世的歌曲《长城谣》。这位女学生,就是当时只有20岁的周小燕。她是著名的“东湖之父”周苍柏的女儿,如今的武汉东湖风景区就是以周苍柏建设的海光农圃为基础发展而来。 👆点击图片查看大图👆 抗战爆发后,就读于上海国立音乐专科学校的周小燕中断学业,回到家乡武汉,全身心投入抗日救亡运动中。1938年,周小燕赴法国学习声乐,途经新加坡时,应百代唱片公司邀请,灌制了《长城谣》唱片。《长城谣》从此传唱到世界各地,在《长城谣》的感召下,海外华侨不仅踊跃捐款、捐物,还回国共赴国难。 《松花江上》由张寒晖于1936年创作,在抗战时期万众传唱,既唱出了东北沦陷后军民流亡关内的悲愤、对家乡的思念与收复失地的渴望,也凝聚了中国人民日益高涨的抗日情绪。 1937年12月31日,周恩来在武汉大学演讲时谈及此曲,动情说道:“成千成万的青年人无家可归,无学可求,尤其是东北的青年朋友,一再地飘泊流浪,一再地尝受人世间的惨痛。一支名叫《松花江上》的歌曲,真使伤心的人断肠。”这段话,道尽了歌曲背后的时代伤痛。 1943年,中国抗日战争由战略防御转为战略进攻。年仅19岁的曹火星深深体会到,在中华民族生死存亡系于一旦的关键时刻,正是中国共产党及其所领导的八路军、新四军挺身而出,为了四万万同胞的安危,不惜流血牺牲,挽救苦难的中国。 一个鲜明的主题在他脑海里越来越清晰:“没有共产党就没有中国”。经过反复修改,一首反映中国共产党领导人民抗战的歌曲问世了。 在传唱过程中,这首歌的词曲也经历了数次修改。毛主席听到这首歌后,为它的名字加了一个“新”字——《没有共产党就没有新中国》,从此,就有了流传至今的经典旋律。 《到敌人后方去》,由赵启海作词,冼星海谱曲。1938年9月,周恩来到武汉视察抗战宣传工作,在为所属演剧队报告当前局势时,强调要挺进敌人后方开展群众运动,进行游击战争。赵启海、冼星海深受启发,合作写下歌曲。很快,这首《到敌人后方去》从武汉流传到祖国各地,并深入到敌后根据地。 👆点击图片查看大图👆 《最后胜利是我们的》《歌八百壮士》等抗战歌曲的谱曲是著名音乐教育家夏之秋。他原名夏汉兴,出生于汉口。1937年“七·七事变”后,他中断学业回到武汉,并在中共地下党的支持下加入了“武汉文化界抗敌工作团”,担任音乐组组长,开启了抗战歌曲的创作之路。1937年11月,夏汉兴在报纸上看到诗人光未然写的一组《抗日合唱》歌词,深受鼓舞,立即为它谱曲,这就是《最后胜利是我们的》。 12月的一天,诗人桂涛声把他写的《歌八百壮士》歌词送到排练场,请夏汉兴谱曲,歌词中洋溢的爱国热情与夏汉兴的心情如出一辙,他连夜把歌词作了调整,谱起曲来。几天后,由周小燕独唱、夏汉兴钢琴伴奏的“中国不会亡”的歌声第一次在武汉响起,演出获得极大成功,“中国不会亡……”的歌声与口号声响成一片。 来源丨 湖北省群众艺术馆 新华网 文旅之声 湖北发布 长江日报 中国儿童中心 武汉市群艺馆 











